+106 Lounge Furniture Rental Price List

+106 Lounge Furniture Rental Price List - In the dwelling would it do not only seem interesting in the exterior, however also proper the condition land and climate in the place. In the area climates warm such as Indonesia, residence ideal is a residence kept high so circulation the air quickly as well as circumstances in the dwelling so that cool day and night. Considering area soil that the more narrow, Can perhaps don't be able to make a residence size wide. By it make You need variety of design of residence small functional and convenient in modern era.

For You are have a residence narrow and design +106 Lounge Furniture Rental Price List, there is various suggestions can You are use the to add to the concept dwelling you so that the home will look is nice and elegant. Create the model residence minimalist modern more fascinating, you are should recommended for smart arrange decoration so that residence do not appear narrow because if home look narrow will create the room home look not organized as well as less convenient. Because the, create set up decor dwelling so that look neat, you're have to set up furnishings that match with a broad dwelling you. designing home furnishings are proper can is the way to special for you're so that model home minimalist You are could appear cool.

+106 Lounge Furniture Rental Price List

thus it, you may provide the much the advantages of interior residence minimalist. the Design is simple however still gives comfort of could make you're more enjoy time spare you're home. as well As, you also don't bother for cleaning and arrange interior residence you because kinds of home is the home easy to improved as a result. good design or the outside so as visible look cool and modern. Under it is reference +106 Lounge Furniture Rental Price List the latest now:

+106 Lounge Furniture Rental Price List

Blog Celebrations Party Rentals
Blog Celebrations Party Rentals via celebrationspartyrentals.com

Tokyo Lease Corporation Furniture Rental
Tokyo Lease Corporation Furniture Rental via furniture-rental-tokyo.com

Maui Event Planner United States Rio Event Design
Maui Event Planner United States Rio Event Design via rioeventdesign.com

Buy Chairs Online Affordable Price In India Amardeep Chairs
Buy Chairs Online Affordable Price In India Amardeep Chairs via amardeepchair.com

Tokyo Lease Corporation Furniture Rental
Tokyo Lease Corporation Furniture Rental via furniture-rental-tokyo.com

Home Package Full Furniture Sets To Rent In Melbourne Click On
Home Package Full Furniture Sets To Rent In Melbourne Click On via clickonrentals.com.au

Century Furniture Infinite Possibilities Unlimited Attention
Century Furniture Infinite Possibilities Unlimited Attention via centuryfurniture.com

Top Floor 2 Bedrooms And 2 Bathrooms Terr HomeAway
Top Floor 2 Bedrooms And 2 Bathrooms Terr HomeAway via homeaway.co.uk

Design Within Reach The Best In Modern Furniture And Modern Design
Design Within Reach The Best In Modern Furniture And Modern Design via dwr.com

Spaces At TheHallsintheAlley The Halls Pizza Kitchen
Spaces At TheHallsintheAlley The Halls Pizza Kitchen via thehallskitchen.com

Long Island Wedding Decor Lighting Reviews For 31 Decor Lighting
Long Island Wedding Decor Lighting Reviews For 31 Decor Lighting via weddingwire.com

20 Easy Ways To Decorate Your Wedding Reception
20 Easy Ways To Decorate Your Wedding Reception via theknot.com

Standard Furniture Birmingham Huntsville Hoover Decatur
Standard Furniture Birmingham Huntsville Hoover Decatur via standardfurniture.net

Apartments For Rent In San Antonio TX Apartmentscom
Apartments For Rent In San Antonio TX Apartmentscom via apartments.com

Pendergrass Supply Rental Fayetteville TN
Pendergrass Supply Rental Fayetteville TN via pendergrasssupply.com

Thibodaux Apartments At Bayou Reserve Apartments
Thibodaux Apartments At Bayou Reserve Apartments via liveatbayoureserve.com

Long Island Wedding Decor Lighting Reviews For 31 Decor Lighting
Long Island Wedding Decor Lighting Reviews For 31 Decor Lighting via weddingwire.com

Rustic Love Wedding Hire Devon
Rustic Love Wedding Hire Devon via rusticlovehire.com

The Loft At Studio J One23Events
The Loft At Studio J One23Events via one23events.com

Southside Apartments Jacksonville FL Arelia James Island
Southside Apartments Jacksonville FL Arelia James Island via areliajamesisland.com

Venue Rentals At Tapps Tapps Arts Center
Venue Rentals At Tapps Tapps Arts Center via tappsartscenter.com

Rentals Gurnee Park District
Rentals Gurnee Park District via gurneeparkdistrict.com

Century Furniture Infinite Possibilities Unlimited Attention
Century Furniture Infinite Possibilities Unlimited Attention via centuryfurniture.com

Living Room Furniture Buy Living Room Furniture Online At Low
Living Room Furniture Buy Living Room Furniture Online At Low via amazon.in

Century Furniture Infinite Possibilities Unlimited Attention
Century Furniture Infinite Possibilities Unlimited Attention via centuryfurniture.com

Alamo City Party Rentals Making Your Event A Success
Alamo City Party Rentals Making Your Event A Success via alamocitypartyrents.com

Long Island Wedding Decor Lighting Reviews For 31 Decor Lighting
Long Island Wedding Decor Lighting Reviews For 31 Decor Lighting via weddingwire.com

Private Apartment Covent Garden The Strand London Updated
Private Apartment Covent Garden The Strand London Updated via booking.com

Grand Rapids Wedding Rentals Reviews For 84 Rentals
Grand Rapids Wedding Rentals Reviews For 84 Rentals via weddingwire.com

Design Within Reach The Best In Modern Furniture And Modern Design
Design Within Reach The Best In Modern Furniture And Modern Design via dwr.com

Living Room Furniture Buy Living Room Furniture Online At Low
Living Room Furniture Buy Living Room Furniture Online At Low via amazon.in

Living Room Furniture Buy Living Room Furniture Online At Low
Living Room Furniture Buy Living Room Furniture Online At Low via amazon.in

Waterford Place Apartments In Folsom CA
Waterford Place Apartments In Folsom CA via liveatwaterford.com

Washington Wedding Rentals Reviews For 106 Rentals
Washington Wedding Rentals Reviews For 106 Rentals via weddingwire.com

Table And Chair Rentals Kings Events And Tents Victoria TX
Table And Chair Rentals Kings Events And Tents Victoria TX via kingseventsandtents.com

Pendergrass Supply Rental Fayetteville TN
Pendergrass Supply Rental Fayetteville TN via pendergrasssupply.com

Living Room Furniture Buy Living Room Furniture Online At Low
Living Room Furniture Buy Living Room Furniture Online At Low via amazon.in

Montauk 2018 With Photos Top 20 Places To Stay In Montauk
Montauk 2018 With Photos Top 20 Places To Stay In Montauk via airbnb.com

Living Room Furniture Buy Living Room Furniture Online At Low
Living Room Furniture Buy Living Room Furniture Online At Low via amazon.in

Alamo City Party Rentals Making Your Event A Success
Alamo City Party Rentals Making Your Event A Success via alamocitypartyrents.com

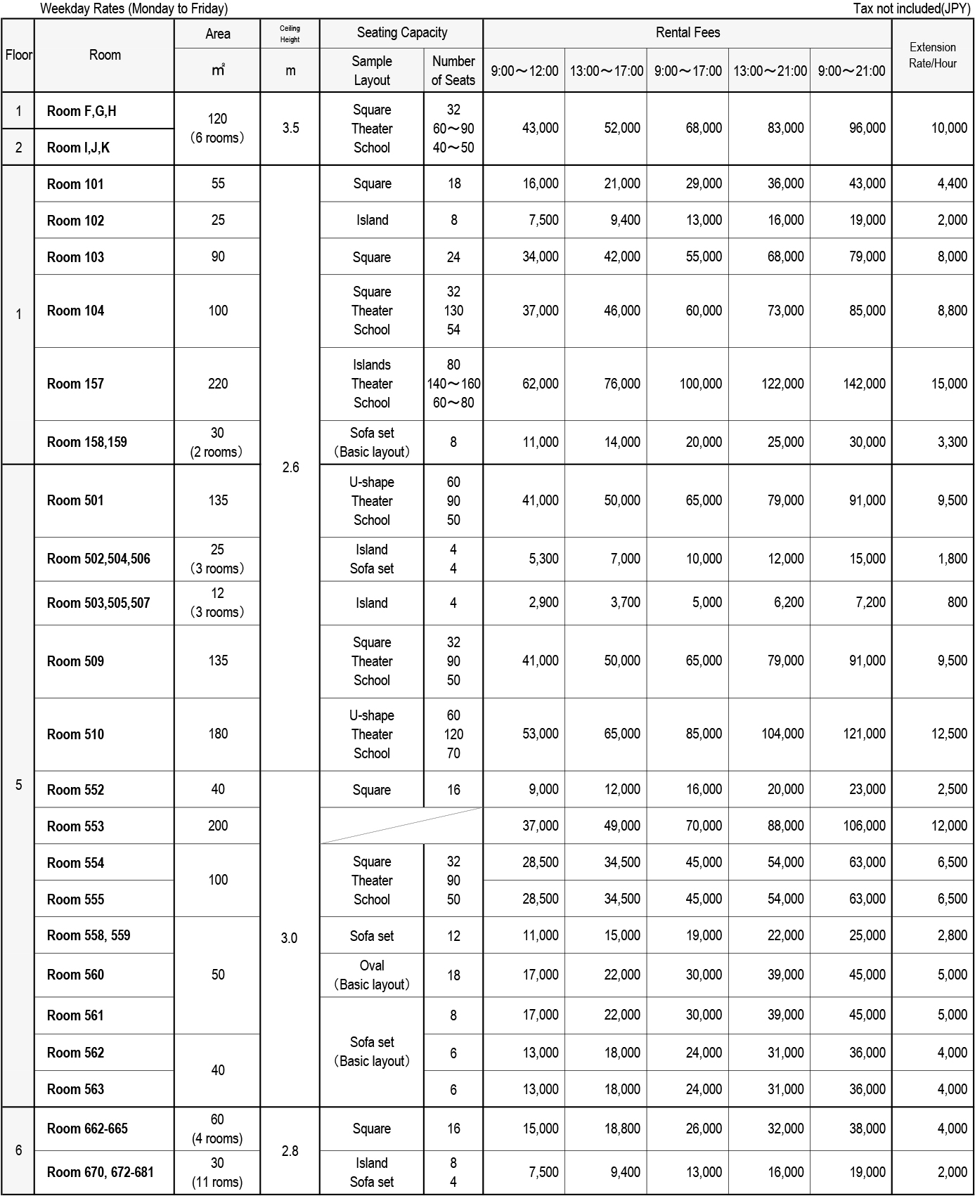
Room And Facilities Rental Fee Kyoto International Conference Center
Room And Facilities Rental Fee Kyoto International Conference Center via icckyoto.or.jp

Ashley Furniture HomeStore Home Furniture Decor
Ashley Furniture HomeStore Home Furniture Decor via ashleyfurniture.com

Apartment Liberty Towers Jersey City NJ Bookingcom
Apartment Liberty Towers Jersey City NJ Bookingcom via booking.com

Singapores Preferred Furniture Rental Company
Singapores Preferred Furniture Rental Company via singaporefurniturerental.com

Boxer Property Commercial Office Space For Rent And Lease
Boxer Property Commercial Office Space For Rent And Lease via boxerproperty.com

Woking Town Centre By SFA Woking Updated 2018 Prices
Woking Town Centre By SFA Woking Updated 2018 Prices via booking.com

How To Create Your Event Budget Endless Events
How To Create Your Event Budget Endless Events via helloendless.com

Thibodaux Apartments At Bayou Reserve Apartments
Thibodaux Apartments At Bayou Reserve Apartments via liveatbayoureserve.com

Northern New Jersey Wedding Florists Reviews For 200 Florists
Northern New Jersey Wedding Florists Reviews For 200 Florists via weddingwire.com

20 Best Apartments In Clearwater FL With Pictures
20 Best Apartments In Clearwater FL With Pictures via apartmentlist.com

106 Parkmore Knockmenagh Craigavon PropertyPal
106 Parkmore Knockmenagh Craigavon PropertyPal via propertypal.com

Liverpool Street House London Updated 2018 Prices
Liverpool Street House London Updated 2018 Prices via booking.com

Southside Apartments Jacksonville FL Arelia James Island
Southside Apartments Jacksonville FL Arelia James Island via areliajamesisland.com

+106 Lounge Furniture Rental Price List
Okay, thus +106 Lounge Furniture Rental Price List collect this week. Hopefully model of home can entertain you are all. Do not hesitate for visit more in blog Admin this, because the will be updated posting every day. Thank you have already been visit, may benefit.
Read Also : +106 Lounge Furniture Rental Price List
+106 Lounge Furniture Rental Price List
So article that can us serve as well as we're arrange many thanks for the visit on the blog admin. For obtain the info recent, you're could read +106 Lounge Furniture Rental Price List. Well, thus a variety information variety of model of residence can us show. Hopefully the blog this useful and can so overview. So thank you.

0 Response to "+106 Lounge Furniture Rental Price List"

Post a Comment